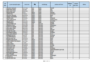
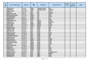
इटहरी । नेपाली कांग्रेसका ११० जना समानुपातिक तर्फका उम्मेदवारको सूची सार्वजनिक भएको छ। निर्वाचन आयोगले आइतबार राति समानुपातिक उम्मेदवारको बन्दसूची सार्वजनिक गरेको हो। कांग्रेसबाट खसआर्य क्लस्टर पुरुषतर्फ पहिलो नम्बरमा अर्जुननरसिंह केसीको नाम छ भने महिलातर्फ सुशीला ढकाल आचार्यको नाम रहेको छ।
यस्तै आदिवासी जनजाति क्लस्टरको पुरुषतर्फ भीष्मराज आङदम्बे छन् भने महिलातर्फ गीताकुमारी सेन्दाङको नाम रहेको छ। मधेसी पुरुषतर्फ मोहनचन्द्र यादव र महिलातर्फ निनु कर्णको नाम रहेको छ। यस्तै थारू क्लस्टको पुरुषतर्फ मिनराज चौधरी र महिलातर्फ प्रमिलाको नाम बन्दसूचीको पहिलो नम्बरमा छ।
दलित क्लस्टरको पुरुषतर्फ मानबहादुर नेपाली र महिलातर्फ हरिनादेवी कामी पहिलो नम्बरमा छन्। यस्तै मुस्लिम क्लस्टरको पुरुषतर्फ जमिल अख्तर मियाँ र महिलातर्फ शाहजान खातुन पहिलो नम्बर छन्।




























Discussion about this post